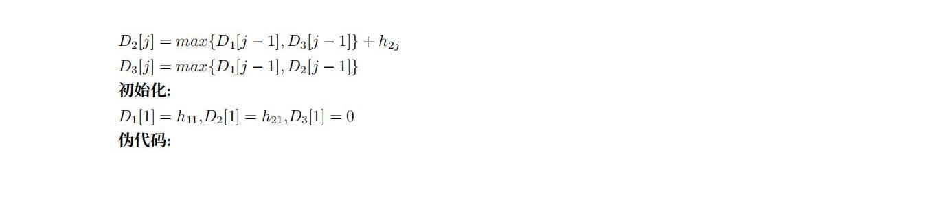
Algorithm-hw-2 更新于 2022-11-22 分类于 Algorithm 阅读次数: 本文字数: 43 阅读时长 ≈ 1 分钟 动态规划第二次算法作业 <这两天饱受算法作业折磨...,所以出现了断更...>😥 如有错误请指出!